• マイページ
  • 小説を探す
  • ネクスト
  • 書籍化作品
KADOKAWA Group
  • ログイン
  • 新規登録(無料)

楢原由紀子

  • @ynarahara
  • 2024年4月6日に登録
  • 歴史・時代・伝奇
  • 恋愛
    • ホーム
    • 小説6
    • コレクション1
    • 近況ノート15
    • おすすめレビュー3
    • 小説のフォロー2
    • ユーザーのフォロー1
2025年8月8日 12:17

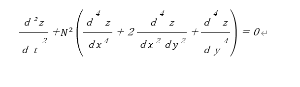
1815年のソフィーによる弾性方程式

小説本文に画像を貼れないので、近況ノートを使用
楢原由紀子
  • X
  • Facebook
  • はてなブックマーク

コメント

コメントの投稿にはユーザー登録(無料)が必要です。もしくは、ログイン
投稿する
フェルマーの最終定理
クラドニ図形、クラドニ実験

最近の記事

  • 「カクヨムコンテスト11」エントリとミスリンク修正

    • 2025年12月3日
  • 2025.11.22完結『革命は止まれない』

    • 2025年11月22日
  • 2025.10.17一旦完結:『革命は止まれない』

    • 2025年10月17日
  • フェルマーの最終定理

    • 2025年9月5日
  • 1815年のソフィーによる弾性方程式

    • 2025年8月8日
  • クラドニ図形、クラドニ実験

    • 2025年8月2日
  • 2回目コロナと雪景色

    • 2025年7月25日